Superannuation and Investments

Unbundling of Lifetime Income Streams

A mature couple using a laptop and phone in the kitchen at home.

Claim your CPD points

With the advent of compulsory superannuation in 1992, the role of “whole of life” insurance has been superseded. 

This was part of a greater trend towards the “unbundling” of the insurance and investment components of financial products. Today, for example, most Australians in their pre-retirement phase meet their insurance needs through their superannuation fund, with premiums paid from their superannuation balance.

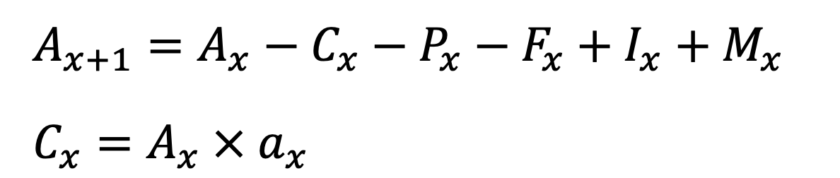
However, this trend has largely not extended to lifetime income streams (LISs) in the post-retirement phase. Most LISs in Australia are sold on the basis that a policyholder makes an initial investment of A and the annual income C that is generated from A is calculated as follows:

Lifetime income streams (LISs) equation

In this case, a is called an “annuitisation factor” and is typically dependent on the age at purchase (and potentially other attributes) of the policyholder. Investment and insurance elements of the LIS are typically bundled into the calculation of a. From the perspective of the policyholder, in this “bundled” structure, the initial investment A “disappears” upon purchase and is replaced by an annual income C.

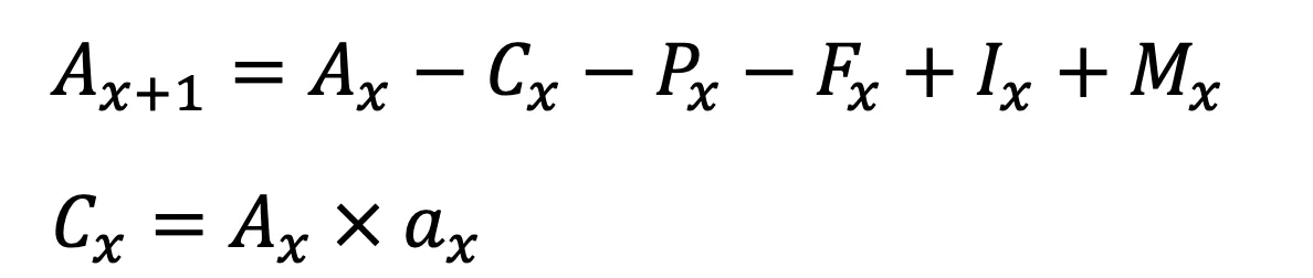
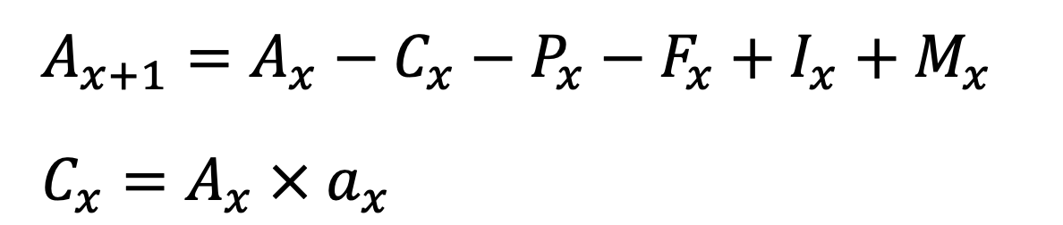
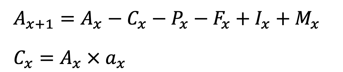
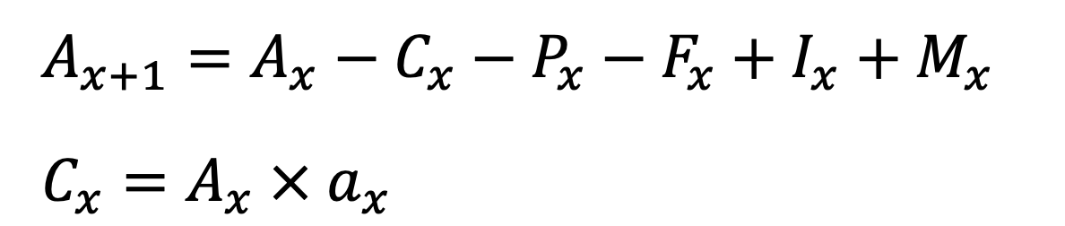
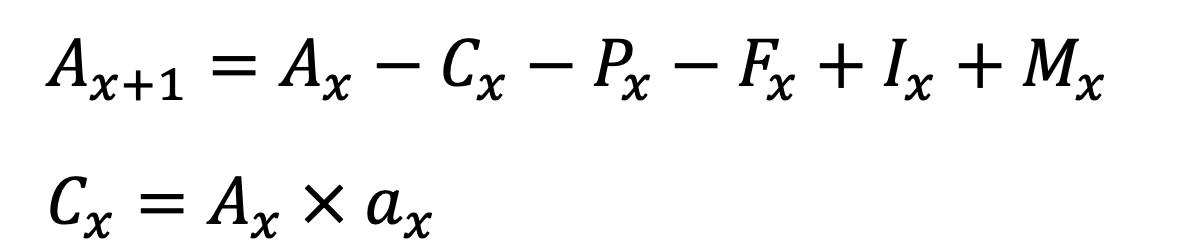
What an “unbundled” lifetime income stream looks like

Under an “unbundled” structure, the initial investment A is updated on a periodic basis similar to an account-based pension (ABP). Using x as a subscript for age, the mathematical structure is [1] :

Unbundled lifetime income stream equation

In this structure, P are insurance premiums, F are fees, and I are investment returns. Up until this point, the structure looks identical to an ABP. The only new element of the above equation is M, which are the mortality credits of the LIS. 

The essential trade-off being made in a LIS is that the policyholder receives these mortality credits; however, they forfeit the right to distribute the remaining Ax to their beneficiaries upon death. Any death benefit payable to beneficiaries can be funded through an insurance premium. All LISs can be expressed using an unbundled structure, whether mortality risk is insured or pooled, with no change to their underlying mechanics.

Potential advantages of “unbundling” lifetime income streams

There are several advantages to unbundling LISs, noting that realising the advantages would require government intervention to require all LISs to be unbundled:

  • Flexibility: Whilst many “bundled” annuities allow some flexibility in investment strategy (i.e. investment-linked annuities), an unbundled LIS lends itself to full investment strategy flexibility and allows additional flexibility in drawdown and death benefit structure. [2]
  • Removal of behavioural barriers to LIS purchase: One potential barrier impeding the sale of LISs is the perceived “disappearance” and hence loss of “control” of the initial investment after purchase. Unbundled LISs would provide annual statements to policyholders that would look similar to an ABP and the pre-retirement phase.
  • Improved transparency: An unbundled LIS can report and disclose fees and premiums in a transparent way equivalent to an ABP and the pre-retirement phase. See Anthony Asher’s article, Life Annuities and Legacy Products for further discussion. Fees and premiums embedded in a bundled LIS are largely opaque.
  • Transferability: A LIS with continuous balance calculation would allow retirees to transfer between providers after purchase. Users would be free to move to a product that offers more attractive investment opportunities, fees, mortality assumptions and/or assumed interest rate. This takes the discussion of Anthony Asher’s article one step further in allowing fully flexible transitions, although to avoid adverse selection, a caveat would be required that the product being transferred into could not offer better withdrawal and death benefit (including reversionary benefits) terms than the product being transferred out of. This would improve competition between providers, who would need to focus on both acquisition and maintenance of customers.
  • Improvements to consistency of Age Pension means testing: Unbundling introduces the potential for greater consistency between the treatment of ABPs and LISs for Age Pension means testing and other social security, since both would have an underlying balance at all time periods. Interested readers can review a recent paper on this topic written by myself and my colleagues, Wenqi Ai and Gaurav Khemka.
Potential disadvantages of “unbundling” lifetime income streams

There are also potential disadvantages to unbundling LISs:

  • Complexity: The conversion of an initial investment into a regular income for life is a simple concept to understand. Whilst an unbundled LIS would generate the same income as an equivalent bundled LIS, the reporting and disclosure of elements like mortality credits and premiums may make the LIS appear more complex, and hence unattractive to purchase.
  • Commercial considerations: An unbundled LIS would require providers to disclose interest and mortality rates assumed in pricing the product, and investment returns earned on balances. Such disclosure may be perceived to be against the commercial interests of providers.
Encouraging discussion

The purpose of this article is not to advocate for or against a requirement for all LISs to be unbundled, but instead to encourage additional discussion on an issue that, to my knowledge, has been largely unexplored. The advantages and disadvantages listed above are only briefly introduced, due to the nature of this medium, and would benefit from additional discussion.

References

[1] The AMP MyNorth Lifetime products, launched in 2022, makes steps in this direction. These products allow some flexibility of choice of Cx, subject to limits, hence necessitating this mathematical structure. There is some bundling of insurance premiums and mortality credits, as the death benefit premium is expressed as a reduction in mortality credits.

[2] As noted in endnote 1.

This work is licensed under a Creative Commons Attribution-NonCommercial-No Derivatives CC BY-NC-ND Version 4.0.

About the authors
Headshot of Adam Butt.
Adam Butt
Adam Butt is an Associate Professor of Actuarial Studies and Statistics and the Head of Actuarial Studies at the Australian National University. Adam’s research interests focus on superannuation and personal financial decision making, and he has worked with multiple superannuation funds in Australia on collaborative projects. Adam’s research has been published in top-ranked actuarial and other journals, including Insurance: Mathematics and Economics, Annals of Actuarial Science, The Economic Record, and Journal of Economic Behaviour & Organisation.